1. 다섯 명의 아이들이 모여서 달리기 시합을 했습니다. 아이들의 이야기를 읽고 다음 중 넷과 다른 상황을 나타낸 것을 고르면?(8점)
|
A : 나는 1등으로 달리다 넘어져서 다시 일어나지 못했다. B : E는 세 명을 제쳤지만 1등은 아니었다. C : 나는 D보다 앞서서 달린 적이 없었다. D : 나는 한번 추월했고, 한번 추월당했다. E : 1등부터 5등까지 순위가 정해졌다. |
① 출발 후에는 A, B, D, E, C의 순위로 달리고 있었다.
② 시합 중에 보니 B, D, C, E, A의 순위로 달리고 있었다.
③ 시합 중에 보니 B, E, D, C, A의 순위로 달리고 있었다.
④ E가 앞지른 사람은 A, B, D이다.
⑤ 앞장을 서봤던 사람은 모두 두 명이다.
(답) ④
(풀이]) E가 앞지른 사람은 B, D, C이다. 따라서 ④가 넷과 다른 상황이다.
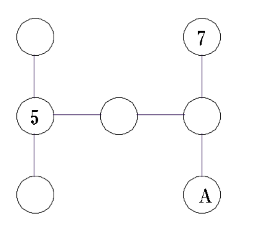
2.다음 H자형의 ○안에 1부터 7까지의 수를 써 넣을 때, 선분으로 이어진 세 수의 합이 모두 같도록 A의 값을 구하시오.

(답) 2
(풀이) 그림을 완성하면 아래와 같으므로 A는 2이다.

3.<보기>는 두 직사각형의 번호가 1, 3일 때, 두 직사각형이 겹쳐진 부분은 두 수의 합이 4임을 나타내고 있다.

(답) A : 4, B : 2
(풀이) 직사각형의 번호는 아래와 같다.

